Blog
Persatuan Contoh Minit Mesyuarat Kali Pertama Pelantikan Ajk
jadual caruman kwsp 2020 untuk umur 60 tahun keatas
jabatan kebajikan masyarakat pulau pinang
jabatan tanah dan survei kuching
jawapan buku teks matematik tambahan tingkatan 4 kssm
jadual kadar harga kerja kejuruteraan awam 2018
jadual gaji swasta 2018
jabatan tenaga kerja sungai petani
jabatan imigresen malaysia putrajaya bahagian keselamatan
Minit Pbsm Kali Pertama
Contoh Minit Mesyuarat Unit Wall Ppx
Contoh Ucapan Mesyuarat House Of Cards
Mesyuarat Agung Tahunan Kelab Umw Cute766
Liaguerhum Contoh Minit Mesyuarat Persatuan Untuk Buka Akaun Bank
Contoh Minit Mesyuarat Kali Pertama Downlllll Cute766
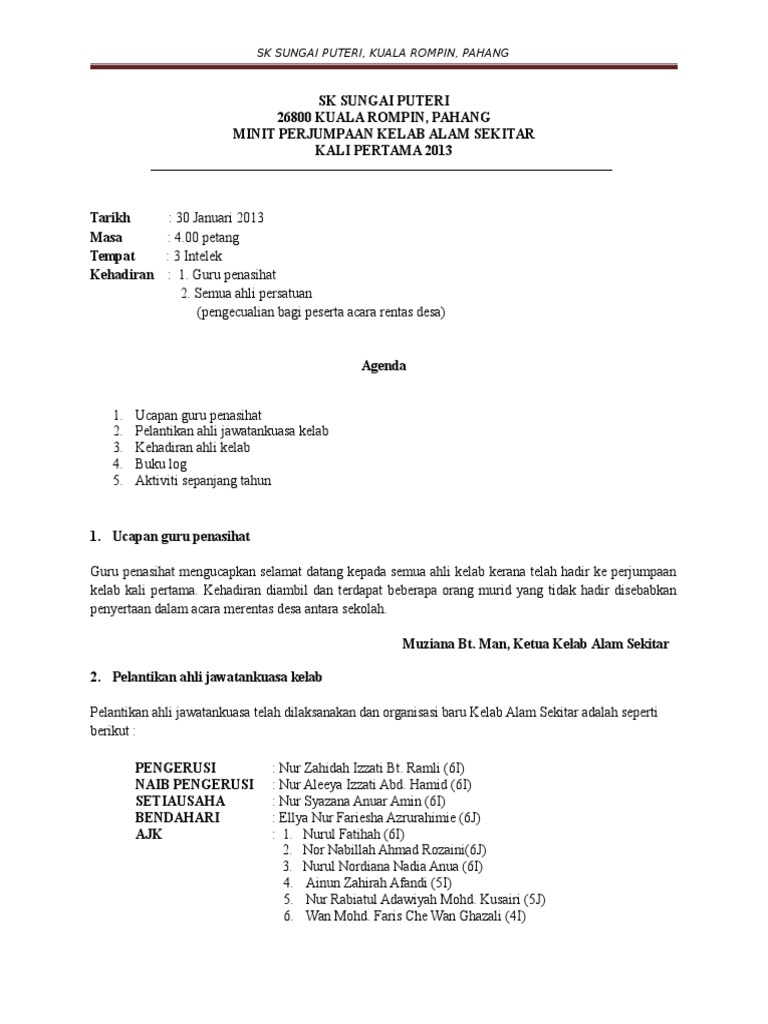
Minit Mesyuarat Kelab Alam Sekitar
Minit Mesyuarat Agung Bsmm 2017 By Mohdasif Issuu
Minit Mesyuarat Persatuan
Minit Mesyuarat Agung Kali Pertama By Tarmizi Razali Flipsnack
Contoh Minit Mesyuarat Rasmi J
Minit Mesyuarat Persatuan Bahasa Melayu
Minit Mesyuarat Ajk Pibg Bil 1 2019 Pages 1 8 Text Version Anyflip
Minit Mesyuarat Agung Pi 2014
Minit Mesyuarat Kokurikulum Kali Pertama 2
Doc Minit Mesyuarat Agung Rukun Negara Mohamad Khairi Ghani Academia Edu
Minit Mesyuarat Penubuhan
Persatuan Contoh Minit Mesyuarat Kali Pertama Pelantikan Ajk
Minit Mesyuarat Kokurikulum Kali Pertama Kk By Evelyn Alex Issuu
Contoh Soalan Osha Z Soalan
Source :
pinterest.com
Random Posts
Soalan Bahasa Malaysia Tahun 3
Setiausaha Kerajaan Negeri Perak
Sifat Sifat Keperibadian Nabi Muhammad Saw
Skema Jawapan Sejarah Kertas 3 Pembinaan Negara Dan Bangsa Malaysia
Soalan Akhir Tahun Rbt Tingkatan 2
Sistem Pemerintahan Dan Pentadbiran Negara Malaysia Kertas 3
Sijil Seni Visual Kreatif
Setem Hasil Beli Di Mana
Sijil Yang Perlu Dibawa Semasa Temuduga
Skim Pembiayaan Peningkatan Perniagaan Spim Mara
Skim Pembiayaan Tekun Niaga
Set Planet Dalam Sistem Suria
Soalan Bahasa Melayu Tingkatan 2 Peperiksaan Akhir Tahun
Senarai Tugas Fail Meja Pembantu Tadbir Perkeranian Operasi N19
Sketsa Gambar Burung Hantu Kartun Hitam Putih
Silsilah Keluarga Nabi Muhammad Dalam Bahasa Arab
Sinopsis Surga Yang Tak Dirindukan 2 Full Movie
Soalan Bahasa Arab Tingkatan 3
Sistem Pendidikan Di Malaysia
Soalan 3 Pengetahuan Dan Kemahiran Bahasa 1103 2