Blog
Ujian Asas Matematik Mrsm Tingkatan 1
suami datuk muhammad mustafa idrus
surat al hujurat ayat 6 menjelaskan tentang
suruhanjaya pengangkutan awam darat spad
surga yang tak dirindukan 2 full movie iflix
sunway medical centre vacancy 2017
suruhanjaya perkhidmatan awam negeri kelantan
surat permohonan sijil digital eperolehan
surat setuju terima tender kantin
Ujian Asas Matematik Mrsm Tingkatan 1
Soalan Percubaan Spm 2017 Matematik Mrsm Berserta Skema Jawapan
Ujian Asas Matematik Mrsm Tingkatan 1
Soalan Matematik Tingkatan 1 Mrsm Kecemasan R
Panduan Ukkm Ujian Kecenderungan Kemasukan Ke Mrsm 2015
Soalan Matematik Matrikulasi Pewarna M
Soalan Matematik Mrsm Kecemasan D
Contoh Soalan Matematik Integer Soalan M
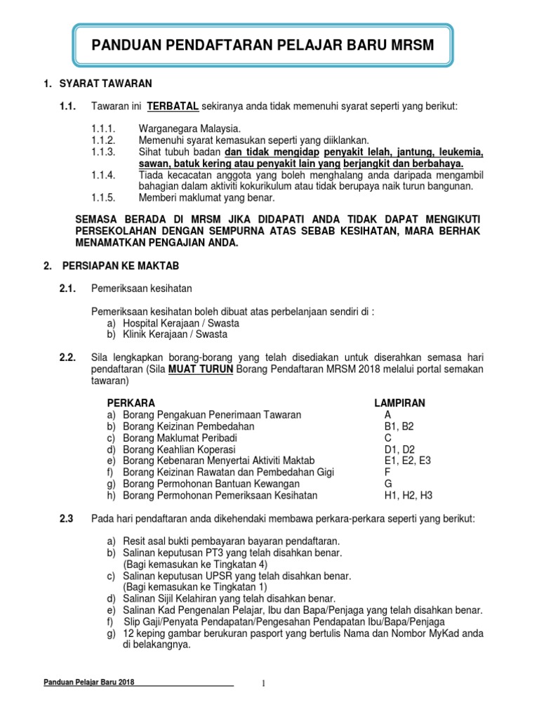
Panduan Pelajar Mrsm 2018
Panduan Pelajar Mrsm 2018
Contoh Ujian Asas Matematik Mrsm Tingkatan 1
Nanie Nania Ujian Kelayakan Kemasukan Ke Mrsm
Ukkm Ujian Kecenderungan Kemasukan Mrsm
Matematik Tingkatan 1 Bab 2 Faktor Dan Gandaan Part 1 Cute766
Soalan Matematik Tingkatan 1 Mrsm Kecemasan R
Soalan Matematik Tingkatan 1 Mrsm Terengganu V
Ujian Kecenderungan Kemasukan Mrsm Koleksi Bank Soalan Sekolah Facebook
Panduan Pelajar Baru Mrsm Semua Pelajar Akan Dibekalkan Dengan Buku Teks Secara Pinjaman Dan Perlu
Soalan Matematik Mrsm Kecemasan D
Soalan Matematik Tingkatan 1 Sbp Selangor L Cute766
Source :
pinterest.com
Random Posts
Karangan Bersatu Teguh Bercerai Roboh Upsr
Karangan Cara Cara Menjaga Alam Sekitar Tahun 6
Karangan Cara Cara Menjaga Alam Sekitar Tahun 4
Kamus Peribahasa Dewan Bahasa Dan Pustaka
Kahwin Campur Di Malaysia
Kadar Tukaran Mata Wang Ringgit Ke Rupiah
Kamus Bahasa Arab Lengkap Beserta Artinya Pdf
Kalori Nasi Goreng Ayam Telur
Kartun Muslimah Gambar Kartun Guru Perempuan Sedang Mengajar
Kandungan Buku Teks Pendidikan Islam Tahun 5
Kandungan Buku Teks Sejarah Tingkatan 4 Kbsm
Karangan Bersatu Teguh Bercerai Roboh
Karangan Pengalaman Sambutan Hari Kemerdekaan Di Sekolah
Kampus Universiti Sultan Azlan Shah
Kadar Pertukaran Wang Asing Ekonomi Tingkatan 5
Kata Kata Semangat Hidup Bahasa Jawa
Kata Kata Hikmah Tunku Abdul Rahman
Kakitangan Kerajaan Kumpulan A
Kasih Sayang Ibu Bapa Kasih Sayang Pantun 4 Kerat
Kamus Bahasa Arab Lengkap Dengan Harakatnya